土地面積測量
在進行土地詳查或者其他農林業生產過程中,常常會需要了解一塊土地的面積。此時,要經常進行土地面積測量。目前,我們所采用的土地面積測量方法主要有:網格法、縱距和法、求積儀法和控制法等方法。但是,一般在現實生活中,我們所需測量的土地都是不規則的,無法在地形圖中勾繪出來,此時,我們就可采用邊測邊計算的方法—直接計算法,來測得所需土地的面積。
下面我們著重介紹下測邊法求面積這一土地面積測量方法:
當測區的形狀為矩形時,只需測量長與寬進而求得面積。如果測區的形狀為非矩形的不規則多邊形,需將測區分割成許多三角形,如圖1測量每個三角形的邊長,算出每個三角形的面積,將所有三角形面積累加就得到測區土地的面積。已知三邊計算三角形面積的公式為:S= √ p (p-a)(p-b)(p-C)。(1)其中:a,b為三邊長,p為三角形的半周長。

圖 1 被測土地形狀
通過上面的計算,我們得到了所需測量土地的面積。然后我們要根據土地面積測量的結果,來進行面積測算的精度分析。
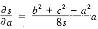
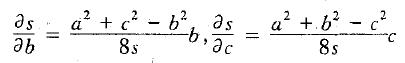
由( 1) 式兩邊分別對三邊微分,得:

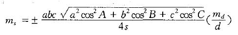
,化為中誤差形式,則三角形面積的中誤差ms為
其中:a、b、c為三角形的三邊長,A,B,C為三邊對應的內角,md/d為測距的相對誤差,S為三角形的面積。
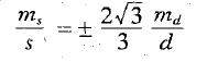
當三角形為等邊時,由測邊引起的面積的相對測量誤差為
要達到1 /10 00的面積相對精度,平距的測量相對精度要達到1/1 155。
- 【中國農業儀器網】聲明部分文章轉載自其它媒體,轉載目的在于傳遞更多信息,并不代表本網贊同其觀點和對其真實性負責,且不承擔此類作品侵權行為的直接責任及連帶責任。如涉及作品內容、版權和其它問題,請在30日內與本網聯系。
- 上一篇:紫外分光光度計在農業檢測的主要用..
- 下一篇:標準良田項目









